



Video
1 / 5
$0.04
≥3000 Meter
$0.03
≥5000 Meter
Options:
Basic Info
| Model No. | HWS |
|---|---|
| Brand Name | KEYUACE |
| place of origin | China |
| species | Heat Shrinkable |
| Material | Polyethylene |
Product description
Heat Shrink Tube for Oil Pipeline

Pipeline Engineering Tubing?,?Polyethylene Terephthalate Tubing is also known as heat shrink weld belt/Heat shrinkable weld sleeve (belt), Pipeline Engineering Tubing made by irradiation cross-linked polyolefin base material and special sealing hot melt adhesive. Pipeline Engineering Tubing/sleeves ,?Heat Shrink Polyethylene it has high mechanical strength, stable performance, aging resistance, anti chemical corrosion, sealing, strong adhesive strength, easy to operate, etc.
?Pipeline Insulation Tape?Product Application:


1, Apply to petroleum, nature gas, chemical engineering, fuel gas and others project pipeline network for anti-corrosion of steel pipeline repaired and welded junction.And also apply to corrosion resistant coating for repairing the breakage.
2, Apply to 2PE, 3PE, FBE,PP,CTE anti-corrosion coating pipeline for anti-corrosion of welded junction and bend area.
?
Specification:
When using the heat shrink sleeves, first preheat the pipeline up to 55 degrees C ~60 degrees C, and then wrap the joint belt around the treated pipeline with the heat shrink joint belt, make sure that the heat shrink joint belt lap width is more than 50mm, it will shrink at radial direction when the heat effects on it, at the same time the hot melt adhesive start to melt, fill and cover the surface of the pipeline, form continuous and close anti-corrosion system with original pipeline anti-corrosion coating.
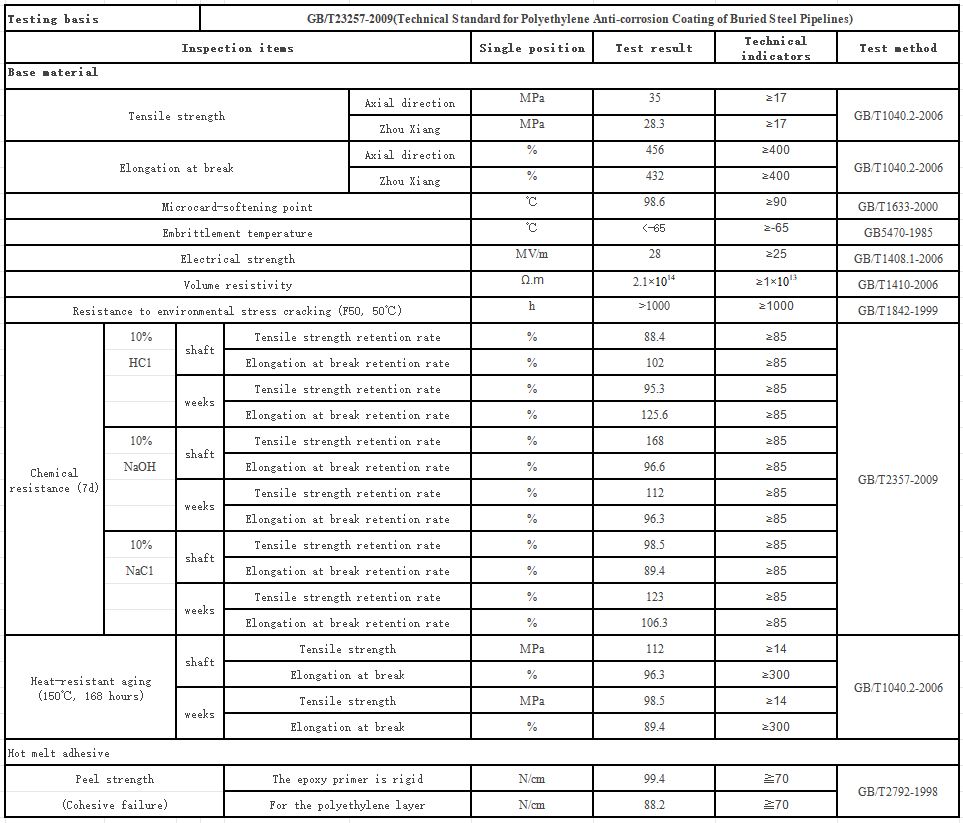
Executive Standard: SY/T0413-2002 and SY/T4054-2003 and GB-T23257-2009.
?
Features & Benefits
1, excellent adhesion ability, adhesion range is wide: can adhere with steel, PE, epoxy coating, etc.
2, strong in corrosion resistance:can effectively block a variety of medium permeability and corrosion, aging resistance, environment stress cracking resistance, resistance to UV irradiation.
3, High mechanical strength: compression resistance, shock resistance, shear resistance.
4, Wide use range: can instruct at -25~35 degrees C temperature range.
5, No volatilization, safety in use, can save energy, can protect environment
6, Long service life.
7, Shrink fast, easy to operate, simple to install.
8, low preheat temperature: when preheat -55 degrees C~60 degrees C, can install it to shrink.




?Other size can customized according to customers' request.
? ? ? ? ? ? ? ? ? ? ? ? ? ? ? ? ? ? ? ? ? ? ? ? ? ? ? ? ???Why choose us???
|
As a factory supplier profit / Assurance for you:
|
About our products profit for you:
|
||
|
1.100%?Brand new and High quality
|
1.Mix design, mix color, mix process?for you winner market
|
||
|
2.100%?on-time shipment protection?
|
2.Basic models are available?in stock, delivery time is short, good quality,?can be customized
|
||
|
3.100%?Payment protection
|
3.The combination of packages?have more specifications and colors to choose. The scope of application and the scene will be more extensive
|
||
|
4.We passed?SGS, UL, CE, RoHS, Recsh, Sony
|
4.Raw materials all the use of environmentally friendly materials, plant technology?make your customers have no worries
|
?
We product large quantities every day for many countries over several years.
We have been provided superior shrinkable tube and terminals to Europe, the United States vendors for many years, we have our own factory and outstanding team. If you order large quantities, we will provide very favorable price. Any problem, just feel free to contact us, we will try our best to solve your problems at once.




?
Video
HWS Pipe anti corrosion heat shrinkable open sleeve
HWS Pipe anti corrosion heat shrinkable open sleeve
HWS Pipe anti corrosion heat shrinkable open sleeve
$0.04
≥3000 Meter
$0.03
≥5000 Meter
Options:
Send your inquiry to this supplier
You may also be interested in
Product Categories