
1 / 1
Basic Info
| Model No. | ZT-143 |
|---|---|
| Brand Name | Zibo Zhengda Polyurethane Co., Ltd. |
| Usage | Electronics Chemicals |
| Type | Adsorbent |
| Adsorbent Variety | Activated Carbon |
| Appearance | Transparent Liquid |
| Water, Wt% | 0.25 Max. |
Product description
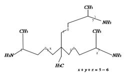
ZHENGDA Amine-terminated Polyether/Polyetheramine ZT-143 is characterized by repeating oxypropylene units in the backbone. It is a poly(propylene oxide) compound mainly terminated by primary amidogen. Polyether polyamine ZT-143 is a trifunctional, primary amine with an average molecular weight of about 440. It is designed for epoxy curing agent,epoxy resin, wind power and polyurea systems. The resin cured by polyetheramine ZT-143 has excellent toughness, impact resistance and low temperature tolerance.
Structure
Applications
Epoxy curing agent
Anti-sag agent for polyurethanes
Benefits
Low color and vapor pressure
Completely miscible with a wide variety of solvents, including water
Improves flexibility and strength
|
Sales Specifications |
|
| Items | Values |
|
Appearance |
Coloress to pale yellow transparent liquid |
|
Color, Pt-Co |
50max. |
| Primary amine, % of total amine |
90min. |
|
Total amine, meq/g |
6.1-6.8 |
|
Water, wt% |
0.25max |
|
Typical Properties |
|
|
Items |
Values |
| AHEW(Amine hydrogen equivalent wt.), g/eq | 81 |
|
Viscosity, cSt, 25°C (77°F) |
72 |
|
Density, g/ml(ib/gal), 25°C |
0.978(8.12) |
|
Flash point, PMCC, °C (°F) |
196(385) |
|
pH, 5% aqueous solution |
11.6 |
|
Refractiveindex,nD20 |
1.46 |
|
Vapor Pressure, mmHg/°C |
1/181 5/207 |
Packaged/Shipped
Drum 200kgs net wt.
Iso Tank appro.23,000.00kgs net wt.
IBC 1000kgs net wt.
Send your inquiry to this supplier
You may also be interested in
Product Categories